热电材料在航天探测器、工业余热废热回收利用等方面具有广泛应用,是材料科学技术领域中的前沿课题。全赫斯勒化合物本身具有优异的电学和机械性能、良好的热稳定性以及相对廉价的组成元素等大规模商业化应用所需的诸多优势,是近年来被广为研究的中高温热电材料。然而,每任意单位具有八个价电子的全赫斯勒合金一直受到人们的忽视。
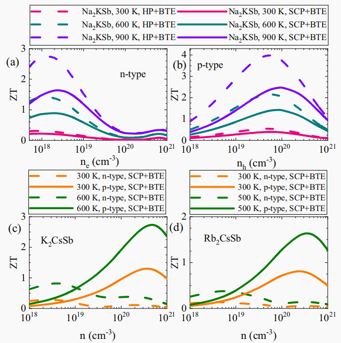
近日,bob体育在线app物理与电子信息学院戴振宏、赵银昌教授团队采用第一性原理计算结合自洽声子理论,压缩感知技术、玻尔兹曼输运方程和电声耦合理论,对每任意单位具有八个价电子全赫斯勒合金Na2KSb和X2CsSb (X=K,Rb)的力学、输运和热电性质进行了深入的研究。戴振宏、赵银昌教授团队发现碱金属在锑原子组成的刚性晶格框架中“rattling“运动导致了Na2KSb,K2CsSb和Rb2CsSb中超低的晶格热导率。力学性质研究表明这三种合金都是脆性半导体,Rb2CsSb具有更强的弹性各向异性。电声耦合计算表明,这三种全赫斯勒合金还具有优异的电学输运性质。因此,这类材料是典型的声子玻璃-电子晶体体系,具有优异的热电性能,在p型掺杂下的最大热电品质因数ZT接近2.8,远高于目前商用热电材料PbTe的品质因数ZT~1.0。此项研究为新型高效热电器件设计奠定了可靠理论基础,同时有助于全面理解每任意单位八个价电子全赫斯勒合金的物理性质。

图:计算的Na2KSb和X2CsSb (X=K,Rb)的热电品质因数
相关研究成果以”Theoretical prediction of mechanics, transport, and thermoelectric properties of full Heusler compounds Na2KSb and X2CsSb (X = K, Rb)”(全赫斯勒化合物Na2KSb and X2CsSb (X = K, Rb)力学、输运和热电性质的理论预测)为题,于2022年5月20日发表在美国物理学会期刊PHYSICAL REVIEWB(《物理评论B》,自然指数收录的82种期刊之一)。上述工作得到了国家自然科学金项目和山东省自然科学基金等项目的资助,赵银昌和戴振宏教授为通讯作者。
文章链接:https://journals.aps.org/prb/abstract/10.1103/PhysRevB.105.184304